Acetals and Ketals
Carbonyl compounds like aldehydes and ketones react with alcohols in acid to form acetals. Acetals are geminal diethers. Two ether groups are attached to the same carbon atom. A carbonyl consists of two carbon-oxygen bonds. The acetals that are formed also have two carbon-oxygen bonds that make two ether groups. The carbon groups that are attached to the oxygen atoms (R’) come from the alcohol used as the solvent.
A compound is made halfway along the mechanism of turning an aldehyde into an acetal that is called a hemiacetal. The hemiacetal has an alcohol and an ether on it. The hydroxyl (OH) group of the hemiacetal further reacts to form an ether in the acetal.

Carbonyls to acetals
All geminal diethers are now called acetals, but in older nomenclature, acetals that were formed from aldehydes were called acetals and those that were formed from ketones were called ketals. This is still often used.

One thing I want you to stop and notice right now. The central carbon atom of the acetal, the one with two oxygen atoms attached to it, comes from the carbonyl compound used in the synthesis. This is easy to remember because a carbonyl has two carbon-oxygen bonds and the same acetal carbon has two carbon-oxygen bonds. The oxygen atoms and the carbon groups on the other side of them (the red groups above) come from the alcohols used. This little gem will help you solve problems later on.

Hydrolysis of acetal
The reverse mechanism turning an acetal into a carbonyl compound is called a hydrolysis. It involved the reaction of the acetal with water and acid. The steps of the mechanism are reversed, but one simply needs to remember that we need to protonate and go to town. Protonate the acetal, and play around with it until you make a hemiacetal. Then, protonate the ether of the hemiacetal and play around with it until you’ve formed the carbonyl compound.

2. Fill in the blank boxes.
a)

b)

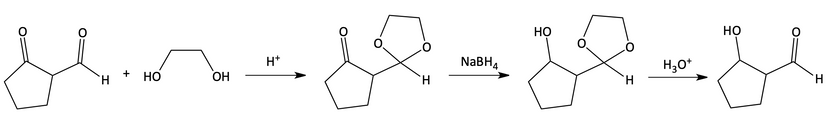
Protecting aldehydes with acetals
It is easier to form an acetal from an aldehyde than it is from a ketone. This can be used to our advantage. Let’s say we have a compound that contains both an aldehyde and a ketone. If we want the ketone to react with a compound like NaBH4, but not the aldehyde, we can “protect” the aldehyde and keep it from reacting. We can use an acetal as a protecting group. In this case, we can react our compound with ethylene glycol in acid. The aldehyde will preferentially react with the ethylene glycol (more than the ketone will) to form an acetal. NaBH4 can then react with the ketone. Following the reaction with the ketone, the acetal can be deprotected with acid and water (a hydrolysis) to once again reform an aldehyde.

Answers
2.
a)

b)


